?您的位置:對照品 > 對照品 > 液相標準品 > |
|
|
|
| 產品基本信息 |
|
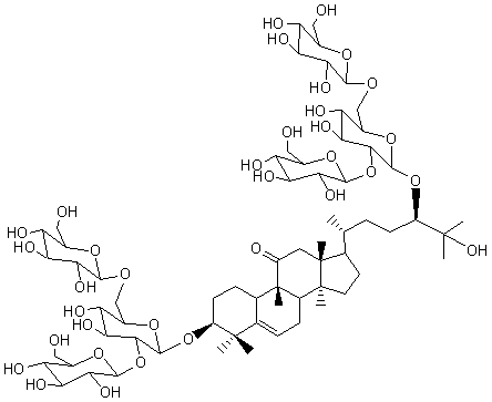
| 產品編號:C66H110O34 |
| 產品名稱:11-氧-羅漢果皂苷VI對照品 |
| 產品CAS:1421942-59-7 |
| 規格含量:1mg |
| 產品價格:2980 |
| 聯系我們: |
|
|
|
|
|
| 產品詳細介紹 |
|
中文名稱 |
11-氧-羅漢果皂苷VI對照品 |
中文別名 |
無 |
|
英文名 |
11-oxo-morgroside VI |
英文別名 |
無 |
|
分子式 |
|
C66H110O34 |
分子量 |
1447.56 |
CAS登錄號 |
1421942-59-7 |
|
|
提取來源 |
|
|
外觀 |
|
淺黃色粉末 |
 |
|
NMR,MS |
|
4℃冷藏、密封、避光 |
|
2年 |
|
無 |
|
|
鑒別方法 |
|
貯存條件 |
|
有效期 |
|
注意事項 |
|
溶解性 |
溶于水,甲醇,DMSO,吡啶 |
|
測定方法 |
C18柱,乙腈/水=21/79, 40 min;203nm |
|
藥典測定方法 |
無 |
|
用途 |
用于含量測定/鑒定/藥理實驗等 |
|
|
|
|
|