?您的位置:對照品 > 對照品 > Witega > |
|
|
|
| 產品基本信息 |
|
| 產品編號:C64H104O30 |
| 產品名稱:虎掌草皂甙D(虎掌草皂甙D)對照品 |
| 產品CAS:96315-53-6 |
| 規格含量:5mg |
| 產品價格:3000 |
| 聯系我們: |
|
|
|
|
|
| 產品詳細介紹 |
|
中文名稱 |
虎掌草皂甙D對照品 |
中文別名 |
虎掌草皂甙D |
|
英文名 |
Huzhangoside D |
英文別名 |
補充中 |
|
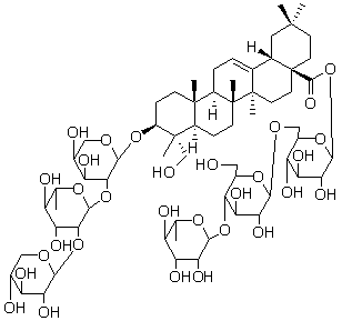
分子式 |
|
C64H104O30 |
分子量 |
1353 |
CAS登錄號 |
96315-53-6 |
|
|
提取來源 |
|
毛茛科植物打破碗花花 Anemone hupehensis |
化學結構 |
|
|
外觀 |
|
白色晶體 |
 |
|
NMR; MS |
|
4℃冷藏、密封、避光 |
|
2年 |
|
無 |
|
|
鑒別方法 |
|
貯存條件 |
|
有效期 |
|
注意事項 |
|
溶解性 |
可溶于水、乙醇、甲醇、DMSO等溶劑,不溶于石油醚。 |
|
測定方法 |
補充中 |
|
藥典測定方法 |
補充中 |
|
用途 |
用于含量測定/鑒定/藥理實驗等 |
|
|
|
|
|