?您的位置:對照品 > 對照品 > NU-Chek > |
|
|
|
| 產品基本信息 |
|
| 產品編號:C32H45NO10 |
| 產品名稱:苯甲酰烏頭原堿對照品 |
| 產品CAS:466-24-0 |
| 規格含量:20mg |
| 產品價格:1280 |
| 聯系我們: |
|
|
|
|
|
| 產品詳細介紹 |
|
中文名稱 |
苯甲酰烏頭原堿對照品 |
中文別名 |
補充中 |
|
英文名 |
Benzoylaconine |
英文別名 |
Benzaconine; Isaconitine; Pikraconitin |
|
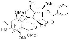
分子式 |
|
C32H45NO10 |
分子量 |
603.70 |
CAS登錄號 |
466-24-0 |
|
|
提取來源 |
|
烏頭屬歐烏頭、川烏、北草烏和華烏頭等多種植物 |
化學結構 |
|
|
外觀 |
|
白色針晶粉 |
 |
|
NMR; MS |
|
4℃冷藏、密封、避光 |
|
2年 |
|
無 |
|
|
鑒別方法 |
|
貯存條件 |
|
有效期 |
|
注意事項 |
|
溶解性 |
補充中 |
|
測定方法 |
HPLC法,使用AichromBond-1 C18柱(250 mm×4.6 mm ID);流動相:乙腈-5 mmol•L-1NaH2PO4溶液,磷酸調至pH 4.5(50:50),內含7 mmol•L-1十二烷基硫酸鈉(SDS);檢測波長:235 nm;流速:1.0 mL•min-1;柱溫:35℃. |
|
藥典測定方法 |
補充中 |
|
用途 |
用于含量測定/鑒定/藥理實驗等 |
|
|
|
|
|