?您的位置:對照品 > 對照品 > APSC > |
|
|
|
| 產品基本信息 |
|
| 產品編號:C36H56O13 |
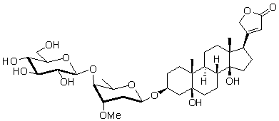
| 產品名稱:異杠柳毒苷(杠柳苷元-3-O-β-葡萄糖(1-4)-β-箭毒羊角拗糖苷對照品 |
| 產品CAS:1253421-94-1 |
| 規格含量:10mg |
| 產品價格:2980 |
| 聯系我們: |
|
|
|
|
|
| 產品詳細介紹 |
|
中文名稱 |
異杠柳毒苷對照品 |
中文別名 |
杠柳苷元-3-O-β -葡萄糖(1-4)-β- 箭毒羊角拗糖苷 |
|
英文名 |
periplogenin 3-O-β -glucopyranosyl- (1-4)-β- sarmentopyranoside |
英文別名 |
補充中 |
|
分子式 |
|
C36H56O13 |
分子量 |
696.82 |
CAS登錄號 |
1253421-94-1 |
|
|
提取來源 |
|
|
外觀 |
|
白色粉末 |
 |
|
NMR,MS |
|
4℃冷藏、密封、避光 |
|
2年 |
|
無 |
|
|
鑒別方法 |
|
貯存條件 |
|
有效期 |
|
注意事項 |
|
溶解性 |
溶于甲醇、DMSO |
|
測定方法 |
補充中 |
|
藥典測定方法 |
補充中 |
|
用途 |
用于含量測定/鑒定/藥理實驗等 |
|
|
|
|
|