?您的位置:對照品 > 標準品 > o2si > |
|
|
|
| 產品基本信息 |
|
| 產品編號:C48H78O19 |
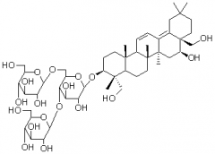
| 產品名稱:斷血流皂苷A(斷血流皂甙A)對照品 |
| 產品CAS:916347-31-4 |
| 規格含量:20mg |
| 產品價格:480 |
| 聯系我們: |
|
|
|
|
|
| 產品詳細介紹 |
|
中文名稱 |
斷血流皂苷A對照品 |
中文別名 |
斷血流皂甙A |
|
英文名 |
Clinodiside A |
英文別名 |
Buddlejasaponin Ⅳb |
|
分子式 |
|
C48H78O19 |
分子量 |
959.12 |
CAS登錄號 |
916347-31-4 |
|
|
提取來源 |
|
唇形科風輪菜屬植物風輪菜 Clinopod ium chinense ( Benth) O. Kuntze |
化學結構 |
|
|
外觀 |
|
白色粉末 |
 |
|
NMR; MS |
|
4℃冷藏、密封、避光 |
|
2年 |
|
無 |
|
|
鑒別方法 |
|
貯存條件 |
|
有效期 |
|
注意事項 |
|
溶解性 |
可溶于水、熱甲醇、DMSO,不溶于石油醚、氯仿等溶劑。 |
|
測定方法 |
色譜柱 Diamonsil C18柱, 流動相為甲醇-水 ( 75:25) ,檢測波長 250 nm |
|
藥典測定方法 |
補充中 |
|
用途 |
用于含量測定/鑒定/藥理實驗等 |
|
|
|
|
|