?您的位置:對照品 > 標準品 > IRMM > |
|
|
|
| 產品基本信息 |
|
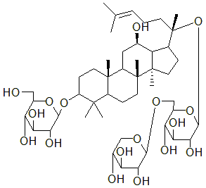
| 產品編號:C47H80O17 |
| 產品名稱:三七皂苷Fd(七葉膽苷IX;絞股藍皂苷IX)對照品 |
| 產品CAS:80321-63-7 |
| 規格含量:20mg |
| 產品價格:2000 |
| 聯系我們: |
|
|
|
|
|
| 產品詳細介紹 |
|
中文名稱 |
三七皂苷Fd對照品 |
中文別名 |
七葉膽苷 IX; 絞股藍皂苷 IX |
|
英文名 |
Notoginsenoside Fd |
英文別名 |
3-O-Glucosylginsenoside C-Mx; Ginsenoside C-Mx1; Gynosaponin I; Gypenoside IX |
|
分子式 |
|
C47H80O17 |
分子量 |
917.13 |
CAS登錄號 |
80321-63-7 |
|
|
提取來源 |
|
|
外觀 |
|
白色粉末 |
 |
|
NMR,MS |
|
4℃冷藏、密封、避光 |
|
2年 |
|
無 |
|
|
鑒別方法 |
|
貯存條件 |
|
有效期 |
|
注意事項 |
|
溶解性 |
溶于甲醇,吡啶,DMSO |
|
測定方法 |
補充中 |
|
藥典測定方法 |
無 |
|
用途 |
用于含量測定/鑒定/藥理實驗等 |
|
|
|
|
|