?您的位置:對照品 > 標準品 > Cerilliant > |
|
|
|
| 產品基本信息 |
|
| 產品編號:C33H44O17 |
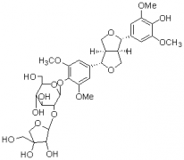
| 產品名稱:(-)-丁香樹脂酚-4-O-β-D-呋喃芹糖基-(1→2)-β-D-吡喃葡萄糖苷對照品 |
| 產品CAS:136997-64-3 |
| 規格含量:20mg |
| 產品價格:1400 |
| 聯系我們: |
|
|
|
|
|
| 產品詳細介紹 |
|
中文名稱 |
(-)-丁香樹脂酚-4-O-β-D-呋喃芹糖基-(1→2)-β-D-吡喃葡萄糖苷對照品 |
中文別名 |
補充中 |
|
英文名 |
(-)-Syringaresnol-4-O-β-D-apiofuranosyl-(1→2)-β-D-glucopyranoside |
英文別名 |
補充中 |
|
分子式 |
|
C33H44O17 |
分子量 |
712.26 |
CAS登錄號 |
136997-64-3 |
|
|
提取來源 |
|
木犀科植物紫丁香 Syringa oblata |
化學結構 |
|
|
外觀 |
|
淡黃色晶體 |
 |
|
NMR; MS |
|
4℃冷藏、密封、避光 |
|
2年 |
|
無 |
|
|
鑒別方法 |
|
貯存條件 |
|
有效期 |
|
注意事項 |
|
溶解性 |
溶于甲醇、DMSO等溶劑。 |
|
測定方法 |
補充中 |
|
藥典測定方法 |
無 |
|
用途 |
用于含量測定/鑒定/藥理實驗等 |
|
|
|
|
|