?您的位置:對照品 > 標準品 > Cerilliant > |
|
|
|
| 產品基本信息 |
|
| 產品編號:C52H84O22 |
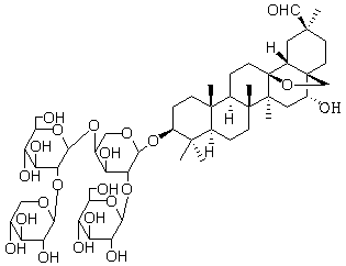
| 產品名稱:百兩金素(百兩金皂苷A)對照品 |
| 產品CAS:23643-61-0 |
| 規格含量:20mg |
| 產品價格:1800 |
| 聯系我們: |
|
|
|
|
|
| 產品詳細介紹 |
|
中文名稱 |
百兩金素對照品 |
中文別名 |
百兩金皂苷A |
|
英文名 |
Ardisiacrispin A |
英文別名 |
Deglucocyclamin;Saxifragifolin B |
|
分子式 |
|
C52H84O22 |
分子量 |
1061.22 |
CAS登錄號 |
23643-61-0 |
|
|
提取來源 |
|
|
外觀 |
|
粉末 |
 |
|
NMR; MS |
|
4℃冷藏、密封、避光 |
|
2年 |
|
無 |
|
|
鑒別方法 |
|
貯存條件 |
|
有效期 |
|
注意事項 |
|
溶解性 |
補充中 |
|
測定方法 |
補充中 |
|
藥典測定方法 |
補充中 |
|
用途 |
用于含量測定/鑒定/藥理實驗等 |
|
|
|
|
|