|
|
| 產品基本信息 |
|
| 產品編號:C45H72O16 |
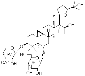
| 產品名稱:(3β,6α,16β,20R,24S)-3-O-[(3,4-二乙酰基-β-D-木糖)]-20,24-環氧-16,25-二羥基-9, |
| 產品CAS:1324005-51-7 |
| 規格含量:5mg |
| 產品價格:1880 |
| 聯系我們: |
|
|
|
|
|
| 產品詳細介紹 |
|
中文名稱 |
(3β,6α,16β,20R,24S)-3-O-[(3,4-二乙酰基-β-D-木糖)]-20, 24-環氧-16,25-二羥基-9,19-環羊毛甾烷-6-O-葡萄糖苷對照品 |
中文別名 |
補充中 |
|
英文名 |
β-D-Glucopyranoside,(3β,6α,16β,20R,24S)-3-[(3,4-di-O-acetyl-β-D-xylopyranosyl)oxy]-20, 24-epoxy-16,25-dihydroxy-9,19-cyclolanostan-6-yl |
英文別名 |
補充中 |
|
分子式 |
|
C45H72O16 |
分子量 |
869.04 |
CAS登錄號 |
1324005-51-7 |
|
|
提取來源 |
|
豆科植物蒙古黃芪 Astragalus membranaceus ( Fisch .) Bge . var. mongholicus ( Bge .) Hsiao 或膜莢黃芪 A. membranaceus ( Fisch .) Bge 。 |
化學結構 |
|
|
外觀 |
|
白色粉末 |
 |
|
MS,NMR |
|
4℃冷藏、密封、避光 |
|
2年 |
|
無 |
|
|
鑒別方法 |
|
貯存條件 |
|
有效期 |
|
注意事項 |
|
溶解性 |
溶于甲醇,不溶于氯仿 |
|
測定方法 |
補充中 |
|
藥典測定方法 |
補充中 |
|
用途 |
用于含量測定/鑒定/藥理實驗等 |
|
|
|