?您的位置:對照品 > 標準品 > cato > |
|
|
|
| 產品基本信息 |
|
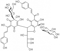
| 產品編號:C48H52O26 |
| 產品名稱:脫水紅花黃色素B對照品 |
| 產品CAS:184840-84-4 |
| 規格含量:5mg |
| 產品價格:2000 |
| 聯系我們: |
|
|
|
|
|
| 產品詳細介紹 |
|
中文名稱 |
脫水紅花黃色素B對照品 |
中文別名 |
無 |
|
英文名 |
Anhydrosafflor yellow B |
英文別名 |
無 |
|
分子式 |
|
C48H52O26 |
分子量 |
1044.91 |
CAS登錄號 |
184840-84-4 |
|
|
提取來源 |
|
|
外觀 |
|
黃色粉末 |
 |
|
NMR,MS |
|
4℃冷藏、密封、避光 |
|
2年 |
|
無 |
|
|
鑒別方法 |
|
貯存條件 |
|
有效期 |
|
注意事項 |
|
溶解性 |
溶于DMSO、甲醇和吡啶 |
|
測定方法 |
補充中 |
|
藥典測定方法 |
無 |
|
用途 |
用于含量測定/鑒定/藥理實驗等 |
|
|
|
|
|